热门关键词: 大型矿卡散热器密封圈 高线轧机密封圈 Y形密封圈 氟塑料制品 工程氟塑料制品 DSH密封圈 广东密封圈 唇型密封圈 唇形密封圈 泛塞密封圈
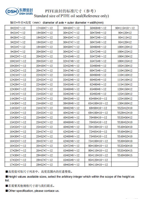
PTFE油封标准尺寸:
本文标签: PTFE油封标准尺寸 乐发vll
咨询热线
丁晴胶密封圈 氟橡胶密封圈 夹布橡胶密封圈 硅胶密封圈
双弹簧泛塞封 阶梯组合泛塞封 加强型泛塞封 孔轴两用泛塞封
汽车行业 无人机行业 智能制造行业 石油开采设备 航天航空行业 化工设备行业 食品设备行业
广东东晟密封科技有限公司 版权所有
备案号:
乐发vll主营:密封圈 橡胶密封圈 唇形( 型)密封圈 泛塞密封圈
网站地图 | 隐私策略
电话:18925433252
手机:18925433252
座机:18925433252
邮箱:2954991375@qq.com
地址:广东省东莞市石碣镇横滘工业区伟业街4号
微信二维码
手机二维码
400电话
在线留言
微信扫一扫
返回顶部